16027 Brookhurst St., Ste. K
Fountain Valley, CA 92708
ph: 714-775-0100
fax: 714-463-2205
drhungvu
Introduction
Before discussing the applied mechanics that are useful in orthodontics, or the biomechanics of moving teeth in orthodontics, certain fundamental concepts must be presented.
Without using rigorous scientific proof and physical laws or formula, explanation of certain phenomena only by using words alone is either imprecise or incorrect.
(Note that this page is a work in progress; material is revised continually.)
Units
International System of Units (SI) is considered as the modern form of the metric system. It is based on the meter-kilogram-second (MKS) system, rather than the centimeter-gram-second (CGS) system.
In the MKS (or SI) system, the unit of mass is kg, the unit of length is m, and the unit of force is Newton (N)
1 N = 1 kg x 1 m/s2
In the CGS system, the unit of mass is g, the unit of length is cm, and the unit of force is dyne
1 dyne = 1 g x 1 cm/s2
Conversion factors are all powers of 10:
1 m = 100 cm
1 kg = 1000 g
1 N = 105 dyne
In the United States, people are acustomed to the slug-foot-second (SFS) system. Contrary to some misconception, the correct unit of mass is slug (not pound-mass, lbm). And the unit of force is pound-force, lbf
1 slug = 32.2 lbm
1 lbf = 1 slug x 1 f/s2
In newtonian mechanics (as opposed to the special theory of relativity), Newton's second law of motion is given as
f = ma
where a is the acceleration vector, m is the mass, and f is the force vector.
A vector has magnitude (a scalar quantity) and direction. A vector is represented by boldface whereas the magnitude is by italic.
Gravity and Weight
The strength of a gravitational field is called gravity g, and its value at the Earth's surface is given as
g = 9.81 m/s2 = 32.2 ft/s2
The gravity at the Moon's surface is about one-sixth as much.
Some people are confused about weight and mass. Some are also confused about acceleration and gravity. They are different.
When an object is placed in a gravitational field, it is subjected to a force whose magnitude is
W = mg
where W is called weight.
For a free fall of an object in air, with the presence of frictional force, its acceleration is less than the gravity. Only if it is in a vacuum, with the abscence of any frictional force, then its acceleration would be equal to gravity.
In the MKS system, the weight of 1kg mass is
W = 1 kg x 9.81 m/s2= 9.81 N or 1 kgf
In the SFS system, the weight of 1 lbm mass is
W = (1/32.2) slug x 32.2 ft/s2= 1lbf
Conversion factors
1 lbm= 0.45359237 Kg
1 N = 0.22 lbf ~ 1/4 lbf
1 kgf = 1,000 gf = 9.81 N
It is convenient in dentistry and orthodontics to use gf as unit of force and N-cm as unit of torque, but it is inconsistent.
Cantilever and Stiffness
One of the most fundamental structures in mechanics is a cantilever beam (Fig. 1). The left end is fixed --absolutely rigid, and the right end is free. The cross section of the beam is shown on the right.
Fig. 1 Cantilever beam
© Copyright 2007-2014, Vu Orthodontics. All rights reserved.
The beam is of length L, and its cross-sectional area is the width b times the height h.
Many health professionals know the cantilever effect, but not too many people know the formula associated with this effect.
The area-moment of inertia about the z-axis is given as
which is linearly dependent on the width b but is proportional to the height h raised to the power of 3 (cubic).
The maximum bending moment and the maximum stress occur at the base of the cantilever beam. And this maximum bending moment is
![]()
The maximum deflection occurs at the tip of the beam, and this deflection can be shown as
![]()
Thus, the maximum deflection is proportional to the 3rd power of the length. For example, if the length is doubled, the maximum deflection is increased by 8 times.
This simple yet fundamental structure is planar (in the plane of the page), and the displacement is only a function of x. It is considered as 1D (one dimensional).
When the displacement is planar but a function of both x and y, the problem is 2D (two dimensional).
If the displacement is a function of all three x, y, and z, the problem is 3D (three dimensional). Thus, the problem is complicated.
The stiffness of the structure about the z-axis depends on the area-moment of inertia about the z-axis. Its stiffness about the y-axis depends on the area-moment of inertia about the y-axis. Similarly, its stiffness about the x-axis depends on the area-moment of inertia about the x-axis. They are all different.
Although 3D is complicated, but with the advent of CBCT (cone beam computed tomography) in dentistry (in general) and in orthodontics (in particular), it is necessary, more than ever, to examine dental structures in 3D.
Stiffness
Bending Stiffness Formulas
Round:
Square:
Rectangular:

Comparing bending stiffness of 2 archwires
The orthodontic clinician would be interested in knowing which wire is stiffer.
Q1. Which one is stiffer between the 0.018 round wire and the 0.016 x 0.016 square wire?
A.
Round: d = 0.018 in.
Square: b = h = 0.016 in.

Accordingly, the 16x16 square archwire is a bit stiffer than the 18 round archwire, by a factor of 1.06, although the side of the square (16) is slightly smaller than the diameter of the round one (18).
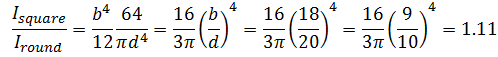
Q2. Which one is stiffer between the 0.020 round wire and the 0.018 x 0.018 square wire?
A.
Round: d = 0.020 in.
Square: b = h = 0.018 in.
Therefore, the 18x18 square archwire is stiffer than the 20 round one by a factor of 1.11.
Geometry and Boundary Conditions
The boundary conditions (BC's) of a structure are also one of the most important concepts in mechanics.
For the cantilever beam in Fig. 1, it can be shown that the governing differential equation is of the 4th order. Thus, it requires four (4) BC's which comprises two geometric and two force/moment BC's:
at x = 0: displacement = 0, rotation = 0
at x = L: shear force = -F, bending moment = 0
These BC's can be expressed mathematically in terms of displacement and its derivatives (not shown).
For many ideal problems, the geometry of the structure and the BC's are simple; thus, the exact solution can be obtained via analytical methods. Simple geometry and BC's lead to manageable differential equations and closed-formed solutions.
The mathematical solutions of the governing differential equations depend primarily on the BC's. Many engineering students obtained incorrect solutions because they use incorrect BC's.
In many real-life situations, when the structures are not ideal, obtaining the exact solution is impossible. Thus, numerical methods are used to obtain approximate solutions. Also in this case, the answers are only as good as the BC's. It is often difficult to assign proper BC's for these real-life applications.
One of the most practical numerical methods is finite-element method (FEM), also called finite-element analysis (FEA).
Work in the literature with FEM may show colorful images, but the solutions may be incorrect because either the structure or the BC's or both are inappropriately assumed in the model. For example, in some research, bone is stated as orthotropic (different material properties in different orthogonal directions), but the work is done with bone assumed isotropic (same in all directions).
In addition, the computer simulations often show questionable results. For example, in some research, all the results are discussed with the hidden assumption that bone fails by the principal stress. But there is no proof that is true. Which one is truly responsible for bone failure? Is it due to principal stress or maximum shear stress or von-Mises stress or a different type of stress?
Torque
The term torque often used in orthodontic community is incorrect or inconsitent with the term torque used in engineering mechanics or physical sciences.
The most general term is moment which is a vector which comprises a magnitude and a direction. In Cartersian coordinate system (x-y-z), moment has three components:
Mx, My, and Mz
Assuming a slender body with z is its long axis, then
Mx = bending moment (about the x-axis)
My = bending moment (about the y-axis)
Mz = twisting moment (aboutt the z-axis) or torque
Thus, torque does not exist if there is no twisting! In other words, when the term torque is used, it is appropriate (or correct) only if there is a twisting motion.
The concepts of kinematics and dynamics and the differences between the two may be confusing even to some engineers and physicists. Kinematics is the study of properties of motion (position, velocity, and acceleration) without any consideration of forces and moments. And dynamics is the study of forces and moments and their effects on motion, with a clear understanding of kinematics as prerequisite.
In orthodontic usage, the term "torque" is used to indicate the moment that is used to move the tooth in the labial-lingual direction. (But the tooth could be moved as such by force or by moment or by couple or by some of these or by all of these.) If the crown is moved labially, then the "torque" is called positive. If the crown is moved lingually, then the "torque" is called negative. But there is no twisting motion here. Thus, this usage is incorrect. It is inconsistent with standard in engineering mechanics.
For example, instead of saying "labial crown torque," it may be better to say "labial crown movement."
Note that the term torque used with dental implants (in implantology) is correct with engineering standard.
Periodontium and Periodontics
The following (in quotes) is from Wikipedia,
"Periodontium refers to the specialized tissues that both surround and support the teeth, maintaining them in the maxillary and mandibular bones. The word comes from the Greek terms peri-, meaning "around" and -odons, meaning "tooth." Literally taken, it means that which is "around the tooth". Periodontics is the dental specialty that relates specifically to the care and maintenance of these tissues.
The following four tissues make up the periodontium:
Alveolar bone
Cementum
Gingiva or gums
Periodontal ligament
The periodontal fiber or periodontal ligament, commonly abbreviated as the PDL, is a group of specialized connective tissue fibers that essentially attach a tooth to the alveolar bone within which it sits. These fibers help the tooth withstand the naturally substantial compressive forces which occur during chewing and remain embedded in the bone.
Functions of PDL are supportive, sensory, nutritive, homeostatic and eruptive.

From Wikipedia
The tissues of the periodontium combine to form an active, dynamic group of tissues. The alveolar bone (C) is surrounded for the most part by the subepithelial connective tissue of the gingiva, which in turn is covered by the various characteristic gingival epithelia. The cementum overlaying the tooth root (B) is attached to the adjacent cortical surface of the alveolar bone by the alveolar crest (I), horizontal (J) and oblique (K) fibers of the periodontal ligament.
The gingival fibers, (H), extend from the cementum (B) into the attached gingiva. Some fibers extend coronally into the crest of the free gingiva, some horizontally, and still other extend horizontally over the crest of the alveolar bone, (C), and then apically to connect on the facial aspect of the buccal plate of the alveolar bone."
The fibers of periodontal ligament are critical in the remodeling of the periodontium, including the alveolar bone:
Clinical Relevance in Orthodontics
One of the most important aspects in clinical orthodontics is extrusion and intrusion of teeth.
It is often debated that when a tooth is intruded or extruded will the bone follow or not.
In the absence of periodontal disease (periodontitis or "gum disease"), the periodontal ligament is not damaged.
When a tooth is extruded by forced extrusion of orthodontic means, the alveolar bone will follow. This is due to the fact that the alveolar crest fibers of periodontal ligament are streched, so they pull the alveolar bone. Hence, they stimulate the growth of the elveolar bone in the direction of pulling, which is extrusion.
When a tooth is intruded by forced intrusion of orthodontic means, the alveolar bone will follow. The reason is that the oblique fibers of periodontal ligament are streched, so they pull the alveolar bone. Hence, they stimulate the movement of the elveolar bone in the direction of pulling, which is intrusion.
It is well known in applied mechanics that a string can only support tension but not compression. And fibers are basically strings.
In extrusion, only the alveolar crest fibers are in tension, and the oblique fibers are not in tension. So, only alveolar crest fibers are working whereas oblique fibers are not.
Similarly, in intrusion, only the oblique fibers are in tension, and the alveolar crest fibers are not in tension. So, only oblique fibers are working whereas alveolar crest fibers are not.
The horizontal fibers are in tension if the tooth is moved bodily in the direction of pulling those fibers. Hence, they are not involved in extrusion or intrusion.
In the level-and-align stage of orthodontics, teeth are intruded or extruded accordingly, however small, from the original non-level configuration. Hence, the bony architecture of the periodontium is also changed accordingly.
Interdisciplinary Treatment
In many cases, especially for adults with compromised dentition (such as with missing teeth), an interdisciplinary treatment is often needed.
The dentists in an interdisciplinary team would comprise:
Dental Implants, Bone Graft, and Soft-Tisue Management
At presence, dental implants are considered a standard of care for replacing missing teeth, provided closing the spaces by orthodontic means are neither practical nor possible.
Some wise dentists have said "A hopeless tooth is not a useless tooth."
In certain cases, especially in the esthetic zones (anteriors), a tooth is hopeless accompanied by its bonny defect. One of the obvious treament plans is extracting the tooth and doing bone graft. But bone graft is not always successful and soft-tissue management is often difficult.
A better treatment plan would be extruding the hopeless tooth with a purpose of bringing the bone with it. Orthodontist would be a perfect fit for this work.
Once normal bony architecture together with good soft tissue are obtained, the hopeless tooth can be extracted and a dental implant is placed to replace the missing tooth.
This application of foced eruption obviates the need for bone grafting.
Fenestration vs. Dehiscence
The difference between fenestration and dehiscence is that the marginal bone is intact in the former and is lost in the latter. In other words, with dehiscence, the denuded areas extend through the marginal bone. The photo in the following link shows the difference between the two:
http://www.juniordentist.com/differences-between-fenestration-and-dehiscence.html
Root Resorption
Although root resorption is one of the critical problems in orthodontics and some considerable efforts have been spent by various researchers trying to understand the phenomenon, it is still poorly understood.
Root resorption occurs with or without orthodontic treatment but more likely with the latter if everything is equal.
Common belief or blame for root resorption with orthodontic treatment from dentists who are not orthodontists is that the treating orthodontist tries to move the tooth too fast or with too much force (or moment). But the cause of root resorption is not that simple.
In a recent case, the patient had no root resorption before, during, and at the end of about 2 years of a typical/normal orthodontic treatment. But several months after braces are off, the patient experienced moderate root resorption on the upper incisals. Some suggested that the Hawley retainer may be the cause. But the retainer fits well - not creating any jiggling motion. So what could it be?
The root of a tooth is typically surrounded by the cancelous bone which in turn is enclosed in the cortical bone.
In the cases of fenestration and dehiscence, the cortical bone is resorped. But in other cases, the root is resorped and cortical bone is intact.
Although root resorption is a cellular response, it begs the question that for mechanical consideration, which one is harder between dentin and cortical bone?
Hardness of Biomaterials
Among the biomaterials, enamel is hardest, and its Mohs scale of hardness is 5. Dentin is softer than enamel but harder than cementum and cancelous bone. Mohs scale of hardness of dentin is 3 and that of bone is 2-3. Cancelous bone is found to be 10-15% softer than cortical bone. So it is not known with 100% certainty which one is harder between dentin and cortical bone. But some dentists reported clinically that it is a bit easier to cut the cortical bone than dentin, by using a bur. So cortical bone in the mouth (mandible or maxilla) may be a bit softer than dentin.
But long bone is another story. The hardness of cortical bone in longitudinal is different than that of circumferential.
© Copyright 2007-2014, Vu Orthodontics. All rights reserved.
Serving communities: Orange County, Fountain Valley, Huntington Beach, Westminster, Garden Grove, Anaheim, Santa Ana, Buena Park, Tustin, Costa Mesa, Newport Beach, Irvine, Stanton, Cypress, Seal Beach, Los Alamitos, Fullerton, La Habra, Brea, Yorba Linda, Placentia, Villa Park, Lake Forest, Mission Viejo, Laguna Beach, Laguna Niguel, Laguna Hills; Los Angeles, Long Beach...
16027 Brookhurst St., Ste. K
Fountain Valley, CA 92708
ph: 714-775-0100
fax: 714-463-2205
drhungvu